如何延長電機壽命?使用好軸承配軟啟動器
一個電機設計的好壞,壽命是一個重要的指標,下面我們就討論一下影響電機壽命的因素,我認為軸承是一個關鍵部件,另外一個就是啟動器和保護器,下面我們就先來說一說軸承。
電機的壽命由軸承、電磁線、磁鋼的壽命決定,額定使用條件下,壽命Z短的是軸承。
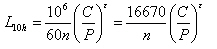
軸承壽命公式:圖1

(注:以上公式適用于軸承工作時溫度低于120°)
C是基本額定動負荷(軸承的基本參數),單位N
P是當量動負荷(軸承工作時所受的外載荷),單位N
n為代表軸承的工作轉速(電機轉速)(r/min)。
ε為壽命指數,對于球軸承ε=3;對于滾子軸承ε=10/3。
由以上公式可以看出軸承的使用壽命與轉速和軸承工作時所受的外載荷有關,即轉速越高、外載荷越大,則壽命越短。

在不變的徑向和軸向載荷作用下,當量動載荷P的計算公式是:圖2
強大沖擊為1.8~3.0
另外,所受外載荷沖擊力越大,則壽命越短。
式中:
Fr為軸承所受的徑向載荷(N),即軸承實際載荷的徑向分量;
Fa為軸承所受的軸向載荷(N),即軸承實際載荷的軸向分量;
X為徑向載荷系數,將實際徑向載荷Fr轉化為當量動載荷的修正系數
Y為軸向載荷系數,將實際軸向載荷Fa轉化為當量動載荷的修正系數;
Fp為載荷系數,輕微沖擊時為1-1.2,中等沖擊時(或中等慣性力)為1.2-1.8
雖然如此,但使用質量更好精度更高的軸承也能相應地延長電機的使用壽命。另外,電機的壽命在實際使用中往往比軸承的壽命還短,這是有原因的,Z多的損壞原因就在于使用的問題。
去電機維修中心看一看你就知道了,電機損壞的現象相當一部分是定子線圈燒毀,有的只有一組,有的全部燒毀,不一而足。定子線圈燒毀肯定是有原因的,而且是可以避免的,電機在使用過程中缺相、長時間過流、啟動電流過大、啟動過程太長都會造成線圈燒毀。
如何避免呢?給電機選擇一個合適的啟動器和運行監控保護器是非常重要的,一個好的啟動器可以讓電機安全快速地啟動,而不會造成啟動時間過長,啟動電流過大。一個好的電機保護器可以在電機出現異常時即時的控制電機,讓電機在燒毀之前斷電停車。
所以聯洲電器的建議是,如果可能請選擇聯洲軟啟動,一種智能型的電機啟動器,自帶軟起動、軟停車、齊全的電機保護功能。一臺機器滿足全部需求,這就是聯洲軟啟動器。